Gereja Katolik St. Paulus, Huta Ginjang adalah salah satu Stasi dari Paroki St. Yohanes Pembaptis, Pakkat, Keuskupan Agung Medan.. Gereja stasi ini dibangun pada tahun 1947 dan dijadikan daerah misi misionaris Katolik saat itu. Higga saat ini jumlah umat Katolik di stasi ini mencapai 61 KK (191 jiwa). Gereja yang dibangun pada tahun 1947 kini sudah dimakan usia dan dibangun semi permanen dimana dinding papan dan kayu-kayu penyangga atap sudah keropos.. Mayoritas umat Katolik dan masyarakat pada umumnya bermatapencaharian petani salak.. Uluran tangan para dermawan baik doa, materi, dan moril sangat berarti untuk saudara-saudari seiman di stasi ini.. Apakah kita mau berbela rasa dengan mereka?
No. HP Pastor Paroki untuk konfirmasi kebenaran pencarian dana:
P. Konrad Situmorang, OFM.Cap (0813- 9761- 1132)
Total Anggaran: Rp 643.125.000,-
Kekurangan Dana: Rp 435.625.000,-
Target PPGK: Rp 120.000.000,-
Berikut ini adalah daftar bantuan yang masuk melalui Rekening PPGK:
| Nama | Bank | Tanggal | Jumlah (Rp) | Total (Rp) | |
| KRISNAWATY SENTOSA | BCA | 26-Feb-2013 | 202.468 | 202.468 | |
| ROBERTUS KARISTAMA | BCA | 26-Feb-2013 | 500.000 | 702.468 | |
| NN | BCA | 26-Feb-2013 | 250.000 | 952.468 | |
| YULITA DASAWATI AS | BCA | 26-Feb-2013 | 200.000 | 1.152.468 | |
| ELISABETH JULIASTU | BCA | 26-Feb-2013 | 50.000 | 1.202.468 | |
| SYLVIA SULISTIO | BCA | 26-Feb-2013 | 50.000 | 1.252.468 | |
| NIKE AULIA KOSASIH | BCA | 26-Feb-2013 | 25.000 | 1.277.468 | |
| JULIANA RIKA | BCA | 26-Feb-2013 | 100.000 | 1.377.468 | |
| ANDREY WIDAWAN ARYA | BCA | 26-Feb-2013 | 50.000 | 1.427.468 | |
| MEILANI HARJATI | BCA | 26-Feb-2013 | 50.000 | 1.477.468 | |
| ELISABETH SIMATUPANG | BCA | 26-Feb-2013 | 500.000 | 1.977.468 | |
|
BCA | 26-Feb-2013 | 500.000 | 2.477.468 | |
| ABRAHAM SUCIADI | Mandiri | 26-Feb-2013 | 750.000 | 3.227.468 | |
| RASKITA BR TARIGAN | BNI | 26-Feb-2013 | 100.000 | 3.327.468 | |
| MARIA ERLIZA F | BNI | 26-Feb-2013 | 750.000 | 4.077.468 | |
| DEDI ANWAR SIPAYUNG | BNI | 26-Feb-2013 | 500.000 | 4.577.468 | |
| MUSTARI PAR | BRI | 26-Feb-2013 | 100.000 | 4.677.468 | |
| MARKUS | Mandiri | 27-Feb-2013 | 200.000 | 4.877.468 | |
| CHRISTOPHEL POHAN | Mandiri | 27-Feb-2013 | 100.000 | 4.977.468 | |
| LUSANTI | Mandiri | 27-Feb-2013 | 1.000.000 | 5.977.468 | |
| SECILIA PANGGRAINI FUNAI | Mandiri | 27-Feb-2013 | 200.000 | 6.177.468 | |
| CAECILIA CITRANINGTYAS W | Mandiri | 27-Feb-2013 | 200.000 | 6.377.468 | |
| BRAM KILAPONG | Mandiri | 27-Feb-2013 | 1.000.000 | 7.377.468 | |
| MARIA REGINA WAYONG | Mandiri | 27-Feb-2013 | 100.000 | 7.477.468 | |
| YULIA MARLINA | Mandiri | 27-Feb-2013 | 75.000 | 7.552.468 | |
|
BNI | 27-Feb-2013 | 500.000 | 8.052.468 | |
| NN | BNI | 27-Feb-2013 | 100.000 | 8.152.468 | |
| ERNY TANTY WIN | BRI | 27-Feb-2013 | 200.000 | 8.352.468 | |
|
BCA | 27-Feb-2013 | 100.000 | 8.452.468 | |
| MELINDA TANG | BCA | 27-Feb-2013 | 1.000.000 | 9.452.468 | |
| IGNATIUS YAMLEAN | BCA | 27-Feb-2013 | 100.000 | 9.552.468 | |
| RIRIS URSULA L TOB | BCA | 27-Feb-2013 | 1.000.000 | 10.552.468 | |
| ERNI FITRIANI SIPA | BCA | 27-Feb-2013 | 100.000 | 10.652.468 | |
| MARIA ANTONIA ISMA | BCA | 27-Feb-2013 | 100.000 | 10.752.468 | |
| HENDRA TJAHJADI | BCA | 27-Feb-2013 | 250.000 | 11.052.468 | |
| TIFFANY WIJAYA KHO | BCA | 27-Feb-2013 | 2.100.000 | 13.102.468 | |
| SHIRLEY ERVINA | BCA | 27-Feb-2013 | 50.000 | 13.152.468 | |
| YENIATI | BCA | 27-Feb-2013 | 100.000 | 13.252.468 | |
| LIDIA ANGGREINI | BCA | 27-Feb-2013 | 100.000 | 13.352.468 | |
| STANISLAUS SUSETIO | BCA | 27-Feb-2013 | 250.000 | 13.602.468 | |
|
BCA | 27-Feb-2013 | 100.000 | 13.702.468 | |
| BUNGA MANDIRI | Mandiri | 28-Feb-2013 | 61.317 | 13.763.785 | |
| PAJAK + BIAYA ADM MANDIRI | Mandiri | 28-Feb-2013 | (22.263) | 13.741.522 | |
| ADI HARNO | Mandiri | 28-Feb-2013 | 500.000 | 14.241.522 | |
| NN | Mandiri | 28-Feb-2013 | 100.000 | 14.341.522 | |
| HINCE NUGROHO | Mandiri | 28-Feb-2013 | 1.000.000 | 15.341.522 | |
| AGATA TRINITA HARY W | Mandiri | 28-Feb-2013 | 200.000 | 15.541.522 | |
| ANTANIA PERTIWI | BNI | 28-Feb-2013 | 50.000 | 15.591.522 | |
| BUNGA BNI | BNI | 28-Feb-2013 | 30.820 | 15.622.342 | |
| PAJAK + BIAYA ADM BNI | BNI | 28-Feb-2013 | (16.164) | 15.606.178 | |
| ELLIS PANJAITA | BRI | 28-Feb-2013 | 150.000 | 15.756.178 | |
| NN | Danamon | 28-Feb-2013 | 100.000 | 15.856.178 | |
| BERTONI PROBO ANGG | BCA | 28-Feb-2013 | 10.000 | 15.866.178 | |
|
BCA | 28-Feb-2013 | 50.000 | 15.916.178 | |
| FERONIKA WONA | BCA | 28-Feb-2013 | 500.000 | 16.416.178 | |
| DANIEL PRIHARTONI | BCA | 28-Feb-2013 | 1.000.000 | 17.416.178 | |
| SATRIA KURNIADJAJA | BCA | 28-Feb-2013 | 500.000 | 17.916.178 | |
| BETTY LUKMAN | BCA | 28-Feb-2013 | 250.000 | 18.166.178 | |
| LINDA TJIOE | BCA | 28-Feb-2013 | 2.000.000 | 20.166.178 | |
| VANNY OKTAVIANY KH | BCA | 28-Feb-2013 | 600.000 | 20.766.178 | |
| YOHANA MARGANINGSI | BCA | 28-Feb-2013 | 50.000 | 20.816.178 | |
|
BCA | 28-Feb-2013 | 50.000 | 20.866.178 | |
| MARITA | BCA | 28-Feb-2013 | 500.000 | 21.366.178 | |
| LINDA | BCA | 28-Feb-2013 | 2.000.000 | 23.366.178 | |
| THEODORUS SUGIARTO | BCA | 28-Feb-2013 | 75.000 | 23.441.178 | |
| MATELDA PATIMANG | BCA | 28-Feb-2013 | 100.000 | 23.551.178 | |
|
BCA | 28-Feb-2013 | 50.000 | 23.601.178 | |
| AGNESIA LIAN | BCA | 28-Feb-2013 | 100.000 | 23.701.178 | |
| SYLVIA MEGAWATI | BCA | 28-Feb-2013 | 100.000 | 23.801.178 | |
| VALINTINO KIYANTO | BCA | 28-Feb-2013 | 500.000 | 24.301.178 | |
| BUNGA BCA | BCA | 28-Feb-2013 | 115.318 | 24.406.496 | |
| PAJAK BUNGA | BCA | 28-Feb-2013 | (23.064) | 24.383.432 | |
| IRA KARNINA | BRI | 01-Mar-2013 | 100.000 | 24.483.432 | |
| ISKANDAR | BNI | 01-Mar-2013 | 100.000 | 24.583.432 | |
| HANS ELBERT SUTEJA | BNI | 01-Mar-2013 | 19.460 | 25.127.892 | |
| MEIDY HERY PURNOMO | BNI | 01-Mar-2013 | 200.000 | 25.327.892 | |
| UTAMI ADI | BNI | 01-Mar-2013 | 150.000 | 25.477.892 | |
| ROZETTA MADIANA GERTRUIDA | Mandiri | 01-Mar-2013 | 450.000 | 25.927.892 | |
| NOVITA GUNAWAN | Mandiri | 01-Mar-2013 | 350.000 | 26.277.892 | |
| DEDY WALUYO WIBOWO | Mandiri | 01-Mar-2013 | 100.000 | 26.377.892 | |
| AARON KUSNADI | BCA | 01-Mar-2013 | 250.000 | 26.627.892 | |
| MOEK CHIY LIEAN | BCA | 01-Mar-2013 | 200.000 | 26.827.892 | |
| ELIANA SAPUTRA TAN | BCA | 01-Mar-2013 | 50.000 | 26.877.892 | |
| THERESIA MURNIATI | BCA | 01-Mar-2013 | 100.000 | 26.977.892 | |
| LINA ISKANDAR | BCA | 01-Mar-2013 | 100.000 | 27.077.892 | |
| CC | BCA | 01-Mar-2013 | 800.000 | 27.877.892 | |
| WIDIONO | BCA | 01-Mar-2013 | 100.000 | 27.977.892 | |
| VINCENSIA LIANA HA | BCA | 01-Mar-2013 | 50.000 | 28.027.892 | |
| MICHAEL ARIBOWO | BCA | 01-Mar-2013 | 500.000 | 28.527.892 | |
| MIA LINA | BCA | 01-Mar-2013 | 200.000 | 28.727.892 | |
| ONG SOE LAN | BCA | 01-Mar-2013 | 400.000 | 29.127.892 | |
| YOHANES AGUS SUGIA | BCA | 01-Mar-2013 | 1.000.000 | 30.127.892 | |
|
BCA | 01-Mar-2013 | 15.000 | 30.142.892 | |
| BENJAMIN SUHARDI | BCA | 01-Mar-2013 | 100.000 | 30.242.892 | |
| YUYU BUDIANTO | BCA | 01-Mar-2013 | 200.000 | 30.442.892 | |
| THERESIA ENDANG RI | BCA | 01-Mar-2013 | 100.000 | 30.542.892 | |
| JOHANNES ARIES SUT | BCA | 01-Mar-2013 | 200.000 | 30.742.892 | |
| NN | BCA | 01-Mar-2013 | 25.000 | 30.767.892 | |
| LENNY | BCA | 01-Mar-2013 | 100.000 | 30.867.892 | |
|
BCA | 01-Mar-2013 | 50.000 | 30.917.892 | |
| NOVITA LIUNARDY | BCA | 01-Mar-2013 | 100.000 | 31.017.892 | |
| MP TULUS ARICHIROW | BCA | 01-Mar-2013 | 50.000 | 31.067.892 | |
| MASRY ANGELIA NAIB | BCA | 01-Mar-2013 | 250.000 | 31.317.892 | |
|
BCA | 01-Mar-2013 | 500.000 | 31.817.892 | |
| MARISKA LAURENSIA | BCA | 01-Mar-2013 | 500.000 | 32.317.892 | |
| CESILIA CAROLINA A | BCA | 01-Mar-2013 | 100.000 | 32.417.892 | |
| VENI VERANITA | BCA | 01-Mar-2013 | 300.000 | 32.717.892 | |
| YUVENSIA LIDYA RIY | BCA | 01-Mar-2013 | 300.000 | 33.017.892 | |
| ANDREAS TOMMY | BCA | 02-Mar-2013 | 300.000 | 33.317.892 | |
| ANGGI RIZKI AMELIA | BCA | 02-Mar-2013 | 100.000 | 33.417.892 | |
| SIM MARIA THERESIA | BCA | 02-Mar-2013 | 150.000 | 33.567.892 | |
| RICCA SALIM | BCA | 02-Mar-2013 | 100.000 | 33.667.892 | |
| EVELINE KRISTINA S | BCA | 02-Mar-2013 | 150.000 | 33.817.892 | |
| HANILANA LIKJONO | BCA | 02-Mar-2013 | 1.000.000 | 34.817.892 | |
| FR.SILVI INDAH SARI | Mandiri | 02-Mar-2013 | 500.000 | 35.317.892 | |
| FONNY TJANDRA | BCA | 02-Mar-2013 | 1.000.000 | 36.317.892 | |
| BETTY LUKMAN | BCA | 02-Mar-2013 | 125.000 | 36.442.892 | |
| CORINNE ALEXANDRA | BCA | 02-Mar-2013 | 1.000.000 | 37.442.892 | |
|
BCA | 02-Mar-2013 | 150.000 | 37.592.892 | |
| OLYVIA ARNANDY HEN | BCA | 02-Mar-2013 | 100.000 | 37.692.892 | |
|
BCA | 02-Mar-2013 | 500.000 | 38.192.892 | |
| YASINTA ARIANTI | Mandiri | 02-Mar-2013 | 50.000 | 38.242.892 | |
| VERONIKA LESTARI | Mandiri | 02-Mar-2013 | 360.000 | 38.602.892 | |
| MARIA SUSILOWATI | Mandiri | 02-Mar-2013 | 100.000 | 38.702.892 | |
| TJONG DJAMILAH | Mandiri | 02-Mar-2013 | 150.000 | 38.852.892 | |
| JANE ELISABETH WUYSANG | BNI | 02-Mar-2013 | 100.000 | 38.952.892 | |
|
Mandiri | 02-Mar-2013 | 250.000 | 39.202.892 | |
| AGUSTINA TRI | BCA | 02-Mar-2013 | 100.000 | 39.302.892 | |
| PATRICIA RIRIS DEL | BCA | 02-Mar-2013 | 50.000 | 39.352.892 | |
|
BCA | 03-Mar-2013 | 150.000 | 39.502.892 | |
| MANONDANG RENTAULI GULTOM | BCA | 03-Mar-2013 | 100.000 | 39.602.892 | |
| LEONITA | BCA | 03-Mar-2013 | 100.000 | 39.702.892 | |
| BAYU | BCA | 03-Mar-2013 | 200.000 | 39.902.892 | |
| DIANA MEILANY | BCA | 03-Mar-2013 | 20.000 | 39.922.892 | |
| MELANIA YULIAWATY | BCA | 03-Mar-2013 | 500.000 | 40.422.892 | |
| IGNATIUS YAMLEAN | BCA | 03-Mar-2013 | 100.000 | 40.522.892 | |
| ANGELA NOVYATI SALUKANAN | Mandiri | 03-Mar-2013 | 100.000 | 40.622.892 | |
| BIMA WAHYU SAPUTRA | Mandiri | 03-Mar-2013 | 50.000 | 40.672.892 | |
| BINTORO | Mandiri | 03-Mar-2013 | 100.000 | 40.772.892 | |
| PATRICK HALOMOAN MARBUN | BCA | 03-Mar-2013 | 100.000 | 40.872.892 | |
| JESSICA SANJAYA | BCA | 03-Mar-2013 | 50.000 | 40.922.892 | |
| VICTOR TANJUNG SUR | BCA | 03-Mar-2013 | 10.000 | 40.932.892 | |
| OKTAVIA | BCA | 03-Mar-2013 | 200.000 | 41.132.892 | |
| ALPHONSO REVY LIBR | BCA | 03-Mar-2013 | 400.001 | 41.532.893 | |
| JAUW SWIE GIOK | BCA | 03-Mar-2013 | 500.000 | 42.032.893 | |
| ADE FRANCISCO BARU | BCA | 03-Mar-2013 | 100.000 | 42.132.893 | |
| LUHUR BUDI WIRYAWA | BCA | 03-Mar-2013 | 75.000 | 42.207.893 | |
| BUDI DHARMAWANGSA | BCA | 03-Mar-2013 | 50.000 | 42.257.893 | |
| TARDAS SITOMPUL | BCA | 03-Mar-2013 | 200.000 | 42.457.893 | |
| RENNY YULIANA | BCA | 04-Mar-2013 | 200.000 | 42.657.893 | |
| FEBRIYANI | BCA | 04-Mar-2013 | 300.000 | 42.957.893 | |
|
BCA | 04-Mar-2013 | 1.500.000 | 44.457.893 | |
| DANIEL DONI SUNDJO | BCA | 04-Mar-2013 | 500.000 | 44.957.893 | |
| ALI SUYANTO | BCA | 04-Mar-2013 | 500.000 | 45.457.893 | |
| HENRICUS AGUS MULY | BCA | 04-Mar-2013 | 200.000 | 45.657.893 | |
| DEWAYANI INDRASTUT | BCA | 04-Mar-2013 | 250.000 | 45.907.893 | |
| DEVI LIANITA | BCA | 04-Mar-2013 | 100.000 | 46.007.893 | |
| ERY SOEDEWO ALI S | BCA | 04-Mar-2013 | 100.000 | 46.107.893 | |
| TIO IE HONG | BCA | 04-Mar-2013 | 100.000 | 46.207.893 | |
| HARTATI HAMBALIE | BCA | 04-Mar-2013 | 150.000 | 46.357.893 | |
| LILIANA SUHENDRA | BCA | 04-Mar-2013 | 50.001 | 46.407.894 | |
| ELVIN | BCA | 04-Mar-2013 | 200.000 | 46.607.894 | |
| JULIUS RUDIANTO | BCA | 04-Mar-2013 | 1.000.000 | 47.607.894 | |
| JAUW LYDIA YULIANT | BCA | 04-Mar-2013 | 100.000 | 47.707.894 | |
| BARA WIJIANTO | BCA | 04-Mar-2013 | 300.000 | 48.007.894 | |
| ANTONIUS | Mandiri | 04-Mar-2013 | 50.000 | 48.057.894 | |
| ANASTASIA MEILINA | Mandiri | 04-Mar-2013 | 800.000 | 48.857.894 | |
| CHRISTA VOLLA | Mandiri | 04-Mar-2013 | 100.000 | 48.957.894 | |
|
Mandiri | 04-Mar-2013 | 500.000 | 49.457.894 | |
| MARIANA R SIALLAGAN | BNI | 04-Mar-2013 | 100.000 | 49.557.894 | |
| STEPHANUS SAND | BRI | 04-Mar-2013 | 500.000 | 50.057.894 | |
| LAZARINA PARAMITA | BRI | 04-Mar-2013 | 250.000 | 50.307.894 | |
| NN | BRI | 04-Mar-2013 | 300.000 | 50.607.894 | |
| ARIANTO KURNIAWAN | BCA | 04-Mar-2013 | 499.999 | 51.107.893 | |
| GIANTORO ALIP | BCA | 05-Mar-2013 | 100.001 | 51.207.894 | |
| MARVENDO LAUREN | BCA | 05-Mar-2013 | 22.000 | 51.229.894 | |
| CHRISTINA DWIE ARW | BCA | 05-Mar-2013 | 200.000 | 51.429.894 | |
| FADLY | BCA | 05-Mar-2013 | 100.000 | 51.529.894 | |
| JOHAN | BCA | 05-Mar-2013 | 250.000 | 51.779.894 | |
| FANNY YOSITA | BCA | 05-Mar-2013 | 100.000 | 51.879.894 | |
| NURMAYANI SITUMORANG | BCA | 05-Mar-2013 | 200.000 | 52.079.894 | |
| HERI ISTIONO BUDIY | BCA | 05-Mar-2013 | 2.100.000 | 54.179.894 | |
| LIA | BCA | 05-Mar-2013 | 300.000 | 54.479.894 | |
| ELVIE ALFIAN WASKI | BCA | 05-Mar-2013 | 100.000 | 54.579.894 | |
| FIIN TANZIL | BCA | 05-Mar-2013 | 100.000 | 54.679.894 | |
| JULIANA | BCA | 05-Mar-2013 | 200.000 | 54.879.894 | |
| ARWITA ANGGRAENI | BCA | 05-Mar-2013 | 1.000.000 | 55.879.894 | |
| SUSAN LOPRANG | Mandiri | 05-Mar-2013 | 250.000 | 56.129.894 | |
| A.ARIE SETIAWAN | Mandiri | 05-Mar-2013 | 50.000 | 56.179.894 | |
| AGUSTINUS SUPRIYANTO | Mandiri | 05-Mar-2013 | 100.000 | 56.279.894 | |
|
Mandiri | 05-Mar-2013 | 250.000 | 56.529.894 | |
|
Mandiri | 05-Mar-2013 | 200.000 | 56.729.894 | |
| YOSEF ENJANG WIDIATMOKO | Mandiri | 05-Mar-2013 | 500.555 | 57.230.449 | |
| NURHAYATI BR SITANGGANG | BNI | 05-Mar-2013 | 500.000 | 57.730.449 | |
| PUTRAWAN TASERI | BCA | 06-Mar-2013 | 200.000 | 57.930.449 | |
| MARIA NOVITA TRI A | BCA | 06-Mar-2013 | 500.000 | 58.430.449 | |
| OKTAVIUS SUHARLI L | BCA | 06-Mar-2013 | 250.000 | 58.680.449 | |
| LILIYANTI SJAH | BCA | 06-Mar-2013 | 100.000 | 58.780.449 | |
| INDRAWATI | BCA | 06-Mar-2013 | 100.000 | 58.880.449 | |
| SURI KUNDOLINI | BCA | 06-Mar-2013 | 50.000 | 58.930.449 | |
| JACQUELINE LIE | BCA | 06-Mar-2013 | 250.000 | 59.180.449 | |
| RUDI PONTES GINTING | BCA | 06-Mar-2013 | 20.000 | 59.200.449 | |
| ANDRIANTI | BCA | 06-Mar-2013 | 500.000 | 59.700.449 | |
| KEL.JACK HALIM | Mandiri | 06-Mar-2013 | 100.000 | 59.800.449 | |
| ELVA YONATAN | Mandiri | 06-Mar-2013 | 1.000.000 | 60.800.449 | |
| NN | Mandiri | 06-Mar-2013 | 200.000 | 61.000.449 | |
| NN | Danamon | 06-Mar-2013 | 100.000 | 61.100.449 | |
|
Mandiri | 07-Mar-2013 | 4.000.011 | 65.100.460 | |
| PETTY OCTAVIA PANG | BCA | 07-Mar-2013 | 500.000 | 65.600.460 | |
| NICKY | BCA | 07-Mar-2013 | 50.000 | 65.650.460 | |
| PRISKA ANGELINA | BCA | 07-Mar-2013 | 800.000 | 66.450.460 | |
| CLARISSA | BCA | 07-Mar-2013 | 100.500 | 66.550.960 | |
| OKVIANES TONY | BCA | 07-Mar-2013 | 150.000 | 66.700.960 | |
|
BCA | 07-Mar-2013 | 10.003 | 66.710.963 | |
| REGINA DHAMAYANTI | BCA | 07-Mar-2013 | 150.000 | 66.860.963 | |
| DAVID | BCA | 07-Mar-2013 | 100.000 | 66.960.963 | |
| ARBI TRG | BRI | 07-Mar-2013 | 50.000 | 67.010.963 | |
| HANS ELBERT SUTEJA | BNI | 07-Mar-2013 | 19.460 | 67.030.423 | |
| ANTON SAHAT TUA BUATON | Mandiri | 08-Mar-2013 | 100.000 | 67.130.423 | |
| ANDREAS TEDDY ANANTO | Mandiri | 08-Mar-2013 | 200.000 | 67.330.423 | |
|
BCA | 08-Mar-2013 | 500.000 | 67.830.423 | |
| ANDRY SURYA | BCA | 08-Mar-2013 | 500.000 | 68.330.423 | |
| FRISKA CHRISTINA | BCA | 08-Mar-2013 | 300.000 | 68.630.423 | |
|
BCA | 08-Mar-2013 | 100.000 | 68.730.423 | |
|
BCA | 08-Mar-2013 | 50.000 | 68.780.423 | |
| SUSILAWATY | BCA | 08-Mar-2013 | 200.000 | 68.980.423 | |
| AGNES SUSANTO | BCA | 08-Mar-2013 | 200.012 | 69.180.435 | |
| VERONICA SITEPU | BCA | 08-Mar-2013 | 300.000 | 69.480.435 | |
| JULIANA LAURUS | BCA | 08-Mar-2013 | 100.000 | 69.580.435 | |
| MARDIANTI TAND | BRI | 08-Mar-2013 | 50.000 | 69.630.435 | |
| JL | BCA | 09-Mar-2013 | 500.000 | 70.130.435 | |
| PRASETYO DANARTO | BCA | 09-Mar-2013 | 100.000 | 70.230.435 | |
| YOHANES ADRI KURNI | BCA | 09-Mar-2013 | 100.000 | 70.330.435 | |
| TEE STEFANUS HOEIS | BCA | 09-Mar-2013 | 100.000 | 70.430.435 | |
| AMELIA DEWI LESTAR | BCA | 09-Mar-2013 | 500.000 | 70.930.435 | |
| LAWRENCE PS LUZAR | Mandiri | 09-Mar-2013 | 150.000 | 71.080.435 | |
| ROBERT DEDY | BRI | 09-Mar-2013 | 200.000 | 71.280.435 | |
| G DYNA LOLO BRIGID | BCA | 10-Mar-2013 | 50.000 | 71.330.435 | |
|
BCA | 10-Mar-2013 | 50.000 | 71.380.435 | |
|
BCA | 10-Mar-2013 | 100.000 | 71.480.435 | |
| AMELIA JESSLYN | BCA | 10-Mar-2013 | 50.000 | 71.530.435 | |
| ERVAN MARDIYANTO | BCA | 10-Mar-2013 | 200.002 | 71.730.437 | |
| MANAWATI HARDJA | BCA | 10-Mar-2013 | 30.000 | 71.760.437 | |
|
Mandiri | 10-Mar-2013 | 205.000 | 71.965.437 | |
| RONI SUTANTO | Mandiri | 10-Mar-2013 | 1.000.000 | 72.965.437 | |
| BRAM KILAPONG | Mandiri | 10-Mar-2013 | 1.000.000 | 73.965.437 | |
| BETTY BAHAREKSA SH | BCA | 11-Mar-2013 | 500.000 | 74.465.437 | |
| ULLY SIDAR SIDAURUK | BCA | 11-Mar-2013 | 35.000 | 74.500.437 | |
| TRI SILOWATI | BCA | 11-Mar-2013 | 2.000.000 | 76.500.437 | |
| BETTY LUKMAN | BCA | 11-Mar-2013 | 125.000 | 76.625.437 | |
| RIA LESTARI | BCA | 11-Mar-2013 | 700.000 | 76.325.437 | |
| ALBERTUS RETNANTO | BCA | 11-Mar-2013 | 1.000.000 | 77.325.437 | |
| SUHAMTO ALEX | BCA | 11-Mar-2013 | 1.000.000 | 78.325.437 | |
|
BCA | 11-Mar-2013 | 350.000 | 79.675.437 | |
| KRISNA MULYADI WIJ | BCA | 11-Mar-2013 | 50.000 | 79.725.437 | |
| ANGELINA MAYA SUTE | BCA | 11-Mar-2013 | 200.000 | 79.925.437 | |
| PUTRAWAN TASERI | Mandiri | 11-Mar-2013 | 1.000.000 | 80.925.437 | |
| MARSELINUS RUDY SILIMALAR | BCA | 12-Mar-2013 | 1.000.000 | 81.925.437 | |
| FARIDA JUSNITA | BCA | 12-Mar-2013 | 500.000 | 82.425.437 | |
| JULIA SUNARYA | BCA | 12-Mar-2013 | 500.000 | 82.925.437 | |
| TJANDRA EKOWATI TJ | BCA | 12-Mar-2013 | 100.000 | 83.025.437 | |
| LIONG LISA SURIANA | BCA | 12-Mar-2013 | 500.000 | 83.525.437 | |
| THERESIA IRA SUSANTI S | BNI | 12-Mar-2013 | 250.000 | 83.775.437 | |
| RCS | BRI | 12-Mar-2013 | 100.000 | 83.875.437 | |
| ROSITA FENNY BASOEKI | Mandiri | 12-Mar-2013 | 300.000 | 84.175.437 | |
| DRA RETNO BUDI ASTUTI | Mandiri | 12-Mar-2013 | 50.000 | 84.225.437 | |
| ALRIANUS | Mandiri | 13-Mar-2013 | 200.000 | 84.425.437 | |
| EDUARDUS PRIMA HERDIAWAN | Mandiri | 13-Mar-2013 | 250.000 | 84.675.437 | |
| WENTY | Mandiri | 13-Mar-2013 | 200.000 | 84.875.437 | |
| ELVA YONATAN | Mandiri | 13-Mar-2013 | 1.000.000 | 85.875.437 | |
| DJIE LI LANG | BCA | 13-Mar-2013 | 100.000 | 85.975.437 | |
| LIDYAWATI | BCA | 13-Mar-2013 | 250.000 | 86.225.437 | |
| CHRISTINE | BCA | 13-Mar-2013 | 100.000 | 86.325.437 | |
| RA MEILINDA | BCA | 13-Mar-2013 | 100.000 | 86.425.437 | |
| PATRICIA RIRIS DEL | BCA | 13-Mar-2013 | 50.000 | 86.475.437 | |
| ELIZABETH DWIWATI MURIA N | BNI | 13-Mar-2013 | 50.000 | 86.525.437 | |
| ROBBY CHRISTANTO S | BCA | 14-Mar-2013 | 200.005 | 86.725.442 | |
| ESTER MILLAWATI | BCA | 14-Mar-2013 | 200.000 | 86.925.442 | |
| ERNI SUWANDI | BCA | 14-Mar-2013 | 150.000 | 87.075.442 | |
| RAQUEL EUGINA VISCONTY | BCA | 14-Mar-2013 | 100.000 | 87.175.442 | |
| FREDY | BCA | 14-Mar-2013 | 151.000 | 87.326.442 | |
| MONICA ANGESTI T W | BCA | 14-Mar-2013 | 100.000 | 87.426.442 | |
|
BCA | 14-Mar-2013 | 2.200.000 | 89.626.442 | |
| DAHLIA NAPITUPULU | Mandiri | 14-Mar-2013 | 200.000 | 89.826.442 | |
|
Mandiri | 14-Mar-2013 | 1.000.000 | 90.826.442 | |
| NN | Mandiri | 14-Mar-2013 | 145.000 | 90.971.442 | |
| V WIWIN PURBAN | Mandiri | 14-Mar-2013 | 100.000 | 91.071.442 | |
| DINI KRISTININ / YOHANES VIAN | Mandiri | 14-Mar-2013 | 200.000 | 91.271.442 | |
| IGNATIUS PRAPTO WI | BCA | 15-Mar-2013 | 5.000.000 | 96.271.442 | |
|
BCA | 15-Mar-2013 | 100.001 | 96.371.443 | |
| BONG HENDRA | BCA | 15-Mar-2013 | 400.000 | 96.771.443 | |
| SUNGKONO KUSUMA | BCA | 15-Mar-2013 | 1.000.000 | 97.771.443 | |
| THEODOSIA GITA MOL | BCA | 15-Mar-2013 | 50.000 | 97.821.443 | |
| ANITA MULIANTO DRG | BCA | 15-Mar-2013 | 100.000 | 97.921.443 | |
|
BCA | 15-Mar-2013 | 500.005 | 98.421.448 | |
| STEFANUS PRAMARTAJ | BCA | 15-Mar-2013 | 250.000 | 98.671.448 | |
| FERDINANDUS RUDY G | BCA | 15-Mar-2013 | 1.000.000 | 99.671.448 | |
| STEFANUS AGUS SUSANTO | BCA | 15-Mar-2013 | 200.000 | 99.871.448 | |
| LUHUR BUDI WIRYAWA | BCA | 15-Mar-2013 | 100.000 | 99.971.448 | |
| LIE DINA JUNIYANTI | BCA | 15-Mar-2013 | 150.000 | 100.121.448 | |
| YULIA WINAHYU | BCA | 15-Mar-2013 | 25.000 | 100.146.448 | |
| LAURENTIA | BCA | 15-Mar-2013 | 800.000 | 100.946.448 | |
| SRI KARTIKA SARI A | BCA | 15-Mar-2013 | 50.000 | 100.991.448 | |
| PRISCELLA HELWAKAN | BCA | 15-Mar-2013 | 50.000 | 101.046.448 | |
| TRK | BCA | 15-Mar-2013 | 200.000 | 101.246.448 | |
| SYLVIA SETIADARMO | BCA | 15-Mar-2013 | 50.000 | 101.296.448 | |
|
BCA | 15-Mar-2013 | 200.000 | 101.496.448 | |
| SELLY LUSIANA | BCA | 15-Mar-2013 | 50.000 | 101.546.448 | |
| HENDI RUSWANTO | BCA | 15-Mar-2013 | 100.000 | 101.646.448 | |
| ELIANTA BR BANGUN | Mandiri | 15-Mar-2013 | 100.000 | 101.746.448 | |
| DEVI | Mandiri | 15-Mar-2013 | 100.000 | 101.846.448 | |
| NORA HAPOSAN SITUMORANG | Mandiri | 15-Mar-2013 | 1.000.000 | 102.846.448 | |
|
BNI | 15-Mar-2013 | 100.000 | 102.946.448 | |
|
BNI | 15-Mar-2013 | 100.000 | 103.046.448 | |
|
BNI | 15-Mar-2013 | 100.000 | 103.146.448 | |
| PATRICIA RANI | BCA | 16-Mar-2013 | 100.000 | 103.246.448 | |
| BIAYA ADM BCA | BCA | 16-Mar-2013 | (12.000) | 103.234.448 | |
| KHO IWAN KOSASIH | BCA | 16-Mar-2013 | 500.000 | 103.734.448 | |
| RUDY SULAEMAN | BCA | 16-Mar-2013 | 500.000 | 104.234.448 | |
| CHRISTIAN WAHYU WIDODO | BNI | 16-Mar-2013 | 1.000.000 | 105.234.448 | |
| NOVITA | BCA | 17-Mar-2013 | 500.000 | 105.734.448 | |
|
Mandiri | 17-Mar-2013 | 1.000.000 | 106.734.448 | |
| ALICE SENTOSA | BCA | 17-Mar-2013 | 23.000 | 106.757.448 | |
| TRIEBERSON SIHOTANG | BCA | 17-Mar-2013 | 200.000 | 106.957.448 | |
| BELLA FEBRINA SINAGA | BCA | 17-Mar-2013 | 1.000.000 | 107.957.448 | |
| IMA INAWATY | Mandiri | 18-Mar-2013 | 100.000 | 108.057.448 | |
| ANDRIE YULIANTO | Mandiri | 18-Mar-2013 | 50.000 | 108.107.448 | |
| JONTER MUNTHE | Mandiri | 18-Mar-2013 | 100.000 | 108.207.448 | |
| NICODEMUS SITUMORANG | Mandiri | 18-Mar-2013 | 500.000 | 108.707.448 | |
| INDRAWATI | BCA | 18-Mar-2013 | 1.000.000 | 109.707.448 | |
| INGADEWI RUSTANDI | BCA | 18-Mar-2013 | 250.000 | 109.957.448 | |
| BERTONI PROBO ANGG | BCA | 18-Mar-2013 | 10.000 | 109.967.448 | |
| ERSANTY | BCA | 18-Mar-2013 | 50.000 | 110.017.448 | |
| RETTY ROSE | BCA | 18-Mar-2013 | 500.000 | 110.517.448 | |
| NN | BCA | 18-Mar-2013 | 6.000.000 | 116.517.448 | |
| NN | Danamon | 18-Mar-2013 | 2.200.000 | 118.717.448 | |
| VIGO | BCA | 18-Mar-2013 | 1.000.000 | 119.717.448 | |
| GAUTAMA PRASETIO O | BCA | 18-Mar-2013 | 130.000 | 119.847.448 | |
| MAYA SETYANINGRUM | Mandiri | 18-Mar-2013 | 21.000 | 119.868.448 | |
|
Mandiri | 18-Mar-2013 | 50.000 | 119.918.448 | |
| ADI HARNO | Mandiri | 19-Mar-2013 | 100.000 | 120.018.448 | |
|
Mandiri | 19-Mar-2013 | 100.000 | 120.118.448 | |
| ANDRE PRIMARAHARJA | Mandiri | 19-Mar-2013 | 1.000.000 | 121.118.448 | |
| RISMA COYDA MELATI | BCA | 19-Mar-2013 | 100.000 | 121.218.448 | |
| DARMIN FAJAR | BCA | 19-Mar-2013 | 200.000 | 121.418.448 | |
| ALEXIUS BRAMANTI W | BCA | 19-Mar-2013 | 500.000 | 121.918.448 | |
| ERVINA VERONIKA TAMSAR | BCA | 19-Mar-2013 | 200.000 | 122.118.448 | |
| METJE | BCA | 19-Mar-2013 | 100.000 | 122.218.448 | |
|
BCA | 19-Mar-2013 | 200.000 | 122.418.448 | |
| RATNASARI HUTOMO | BCA | 19-Mar-2013 | 50.000 | 122.468.448 | |
| ROBERT AGUSTINUS | BCA | 19-Mar-2013 | 200.000 | 122.668.448 | |
| SIGIT WIBOWO | BCA | 19-Mar-2013 | 56.700 | 122.725.148 | |
| JUNAEDI | BCA | 19-Mar-2013 | 50.000 | 122.775.148 | |
| AGUSTINA WIDJAJA | BRI | 19-Mar-2013 | 300.000 | 123.075.148 | |
| LEANDER ARDITYA | BCA | 20-Mar-2013 | 150.000 | 123.225.148 | |
| VICTOR TANJUNG SUR | BCA | 20-Mar-2013 | 50.000 | 123.275.148 | |
| DAMON RIZKI | BCA | 20-Mar-2013 | 1.000.000 | 124.275.148 | |
|
BCA | 20-Mar-2013 | 200.000 | 124.475.148 | |
| YOKO WIDITO | BCA | 20-Mar-2013 | 100.000 | 124.575.148 | |
| LIES SUSANTY | BCA | 20-Mar-2013 | 200.000 | 124.775.148 | |
| MAGDALENA PURVANTI | BCA | 20-Mar-2013 | 200.000 | 124.975.148 | |
| JULIANA | BCA | 20-Mar-2013 | 100.000 | 125.075.148 | |
| FRIEDA TERESA | BCA | 20-Mar-2013 | 1.000.000 | 126.075.148 | |
| HELEN SOPUTAN | BCA | 20-Mar-2013 | 1.000.000 | 127.075.148 | |
| DANIEL KRISTI BASKORO | Mandiri | 20-Mar-2013 | 1.000.000 | 128.075.148 | |
| EKTAPERA PERAN | BRI | 20-Mar-2013 | 200.000 | 128.275.148 | |
| YANTI MULYANTI | BCA | 21-Mar-2013 | 100.000 | 128.375.148 | |
|
BCA | 21-Mar-2013 | 100.000 | 128.475.148 | |
|
BCA | 21-Mar-2013 | 200.000 | 128.675.148 | |
|
BCA | 21-Mar-2013 | 20.000 | 128.695.148 | |
|
BCA | 21-Mar-2013 | 1.000.000 | 129.695.148 | |
|
BCA | 21-Mar-2013 | 20.000 | 129.715.148 | |
|
BRI | 21-Mar-2013 | 200.000 | 129.915.148 | |
|
BRI | 21-Mar-2013 | 28.781 | 129.943.148 | |
|
BRI | 21-Mar-2013 | (17.756) | 129.926.173 | |
| NN | Danamon | 21-Mar-2013 | 500.000 | 130.426.173 |
Berikut ini adalah daftar bantuan yang masuk melalui Rekening PPGK (TAHAP II):
| Nama | Bank | Tanggal | Jumlah (Rp) | Total (Rp) |
| ERNIE SUHARDI | BCA | 28-Feb-2014 | 500.000 | 500.000 |
| MELANIA YULIAWATY | BCA | 01-Mar-2014 | 500.000 | 1.000.000 |
| IGNATIUS YAMLEAN | BCA | 02-Mar-2014 | 50.000 | 1.050.000 |
| ERSANTY | BCA | 02-Mar-2014 | 132.000 | 1.182.000 |
| FRISKA CHRISTINA | BCA | 02-Mar-2014 | 300.000 | 1.482.000 |
| GIANTORO ALIP | BCA | 03-Mar-2014 | 100.001 | 1.582.001 |
| NN | BCA | 03-Mar-2014 | 100.000 | 1.682.001 |
| LOLINDA CONTESA | BCA | 03-Mar-2014 | 2.000.000 | 3.682.001 |
| TLLT | BCA | 03-Mar-2014 | 300.000 | 3.982.001 |
| SUHERMAN S | BCA | 03-Mar-2014 | 200.000 | 4.182.001 |
| FRANS GATU HURINT | BCA | 03-Mar-2014 | 20.000 | 4.202.001 |
| NN | BCA | 03-Mar-2014 | 250.000 | 4.452.001 |
| KEVIN SETYABUDI | BCA | 03-Mar-2014 | 1.000.000 | 5.452.001 |
| TRIFONIA | BCA | 03-Mar-2014 | 1.200.000 | 6.652.001 |
| JAP PRISCILLA VIBY | BCA | 03-Mar-2014 | 200.000 | 6.852.001 |
| ANTONIUS | Mandiri | 03-Mar-2014 | 50.000 | 6.902.001 |
| YULIA MARLINA | Mandiri | 03-Mar-2014 | 100.000 | 7.002.001 |
| FRANSISCUS REXTO R | Mandiri | 03-Mar-2014 | 100.000 | 7.102.001 |
| LORIANI | BRI | 04-Mar-2014 | 250.000 | 7.352.001 |
| GENOVEVA EVY C. | BCA | 04-Mar-2014 | 100.000 | 7.452.001 |
| YOHANES AGUS | BCA | 04-Mar-2014 | 2.000.000 | 9.452.001 |
| BERNADETTA BR. TARI | BCA | 04-Mar-2014 | 100.000 | 9.552.001 |
| HEIDI ZAIN | BCA | 04-Mar-2014 | 250.000 | 9.802.001 |
| DEMETRIA DIAH P. | BCA | 04-Mar-2014 | 50.000 | 9.852.001 |
| TIEN DEWI YOANNITA | BCA | 04-Mar-2014 | 100.000 | 9.952.001 |
| MASRY ANGELIA N | BCA | 04-Mar-2014 | 250.000 | 10.202.001 |
| LEONARDUS EKA DHAR | BCA | 04-Mar-2014 | 100.000 | 10.302.001 |
| TOMMY MARTIN | BCA | 04-Mar-2014 | 150.000 | 10.452.001 |
| DAVID MANIK | BCA | 04-Mar-2014 | 100.000 | 10.552.001 |
| NN | Mandiri | 04-Mar-2014 | 100.000 | 10.652.001 |
| ROZETTA MADIANA | Mandiri | 04-Mar-2014 | 600.000 | 11.252.001 |
| RICHARDUS ARDI S. | Mandiri | 04-Mar-2014 | 300.000 | 11.552.001 |
| JAUW LYDIA YULIANT | BCA | 05-Mar-2014 | 100.000 | 11.652.001 |
| YENNY BARLIAN | BCA | 05-Mar-2014 | 1.000.000 | 12.652.001 |
| AGUSTINUS ARDIYAN | BCA | 05-Mar-2014 | 100.000 | 12.752.001 |
| HANS ELBERT SUTEJA | BCA | 05-Mar-2014 | 20.000 | 12.772.001 |
| RAMITHA DANAR INVA | BCA | 05-Mar-2014 | 200.000 | 12.972.001 |
| DJIE LI LANG | BCA | 05-Mar-2014 | 300.000 | 13.272.001 |
| LIDIA ANGGREINI | BCA | 05-Mar-2014 | 100.000 | 13.372.001 |
| RYAN STILLMAN KURN | BCA | 05-Mar-2014 | 270.000 | 13.642.001 |
| SKOLASTIKA MIRA I. | BCA | 05-Mar-2014 | 1.000.000 | 14.642.001 |
| TRI MAYA PUSPITA S. | BCA | 05-Mar-2014 | 200.000 | 14.842.001 |
| RAHMAT PERANGIN A. | Mandiri | 05-Mar-2014 | 100.000 | 14.942.001 |
| NN | Mandiri | 05-Mar-2014 | 500.000 | 15.442.001 |
| LAURA DAMESHITA S. | Mandiri | 05-Mar-2014 | 300.000 | 15.742.001 |
| LUSANTI | Mandiri | 05-Mar-2014 | 1.000.000 | 16.742.001 |
| NN | Mandiri | 05-Mar-2014 | 100.000 | 16.842.001 |
| ANASTASIA ODA H. | BRI | 05-Mar-2014 | 500.000 | 17.342.001 |
| ANASTASIA UMI | BRI | 05-Mar-2014 | 20.000 | 17.362.001 |
| CKS | BCA | 06-Mar-2014 | 400.000 | 17.762.001 |
| WIRAWAN WIDJAYA | BCA | 06-Mar-2014 | 500.000 | 18.262.001 |
| SAVERI YAHYA | BCA | 06-Mar-2014 | 300.000 | 18.562.001 |
| YUSTINUS BUDI PRAS | BCA | 06-Mar-2014 | 50.000 | 18.612.001 |
| FVS | BCA | 06-Mar-2014 | 150.000 | 18.762.001 |
| MATEUS ANANG W. | BCA | 06-Mar-2014 | 50.000 | 18.812.001 |
| HENDRA TJAHJADI | BCA | 06-Mar-2014 | 250.000 | 19.062.001 |
| DEMETRIA DIAH P. | BCA | 06-Mar-2014 | 40.000 | 19.102.001 |
| LIE HUANG | BCA | 06-Mar-2014 | 250.000 | 19.352.001 |
| P. SONNY BHAKTI W. | BCA | 06-Mar-2014 | 500.000 | 19.852.001 |
| ANDRY SURYA | BCA | 06-Mar-2014 | 500.000 | 20.352.001 |
| NI WAJAN LENI | BCA | 06-Mar-2014 | 300.000 | 20.652.001 |
| SARAH ROSANAULLI | Mandiri | 06-Mar-2014 | 3.000.000 | 23.652.001 |
| WINDI ADELIN | Mandiri | 06-Mar-2014 | 150.000 | 23.802.001 |
| GABRIEL PURWAKA S. | BNI | 06-Mar-2014 | 50.000 | 23.852.001 |
| CHRISTINA DHAMAR T. | BCA | 07-Mar-2014 | 100.000 | 23.952.001 |
| THERESIA NUKE PARA. | BCA | 07-Mar-2014 | 150.000 | 24.102.001 |
| SUI HIA | BCA | 07-Mar-2014 | 150.000 | 24.252.001 |
| ERIKA SETIAWAN | BCA | 07-Mar-2014 | 250.000 | 24.502.001 |
| CHRISTINE ELIZABET | BCA | 07-Mar-2014 | 100.000 | 24.602.001 |
| M. P. TULUS ARICHIRO | BCA | 07-Mar-2014 | 50.000 | 24.652.001 |
| YULIUS IREL LELONO | BCA | 07-Mar-2014 | 200.000 | 24.852.001 |
| DAVID MANIK | BCA | 07-Mar-2014 | 100.000 | 24.952.001 |
| UNTARI | BCA | 07-Mar-2014 | 100.000 | 25.052.001 |
| TPP | BCA | 07-Mar-2014 | 100.000 | 25.152.001 |
| SUHENDRY | BCA | 07-Mar-2014 | 500.000 | 25.652.001 |
| AMELIA JESSLYN | BCA | 07-Mar-2014 | 100.000 | 25.752.001 |
| TIEN DEWI YOANNITA | BCA | 07-Mar-2014 | 100.000 | 25.852.001 |
| VERONIKA INDRIATI | BCA | 07-Mar-2014 | 500.000 | 26.352.001 |
| TYAS NITA FITRIA S. | BCA | 07-Mar-2014 | 100.000 | 26.452.001 |
| YUSTINA DARWANING | BNI | 07-Mar-2014 | 100.000 | 26.552.001 |
| SUSAN LOPRANG | Mandiri | 07-Mar-2014 | 250.000 | 26.802.001 |
| AJI TUNANG PRA | BRI | 08-Mar-2014 | 50.000 | 26.852.001 |
| REGINA RETANUBUN | BCA | 08-Mar-2014 | 50.000 | 26.902.001 |
| LIE YENNY AGUSTIN | BCA | 08-Mar-2014 | 300.000 | 27.202.001 |
| YOKE THERESIA SIND | BCA | 08-Mar-2014 | 500.000 | 27.702.001 |
| NANIK PURWANINGSIH | BCA | 08-Mar-2014 | 1.000.000 | 28.702.001 |
| CC | BCA | 08-Mar-2014 | 300.000 | 29.002.001 |
| VENI VERANITA | BCA | 08-Mar-2014 | 100.000 | 29.102.001 |
| KING HARTONO H. | BCA | 08-Mar-2014 | 150.000 | 29.252.001 |
| RINDA KURNIAWAN | BCA | 08-Mar-2014 | 5.000.000 | 34.252.001 |
| YOHAN SETIAWAN | BCA | 08-Mar-2014 | 400.000 | 34.652.001 |
| STEVANUS INDRA K. | BCA | 08-Mar-2014 | 1.330.000 | 35.982.001 |
| RUDY MANIK | BCA | 08-Mar-2014 | 500.000 | 36.482.001 |
| STASI POLA TEBU | BCA | 08-Mar-2014 | 5.094 | 36.487.095 |
| JULIANUS EFFENDI K. | Mandiri | 08-Mar-2014 | 150.000 | 36.637.095 |
| ELPHINA ANASTASIA | BCA | 08-Mar-2014 | 500.000 | 37.137.095 |
| ANDREAS SOLIHIN | BCA | 08-Mar-2014 | 5.000.000 | 42.137.095 |
| LINGGA HANDOYO | BCA | 08-Mar-2014 | 500.000 | 42.637.095 |
| RINDA KURNIAWAN | Mandiri | 08-Mar-2014 | 5.000.000 | 47.637.095 |
| IGNATIUS YAMLEAN | BCA | 09-Mar-2014 | 50.000 | 47.687.095 |
| ANDRI TAUFIK HIDAYAT | Mandiri | 09-Mar-2014 | 200.000 | 47.887.095 |
| CHRISTINA | Mandiri | 09-Mar-2014 | 150.000 | 48.037.095 |
| ATAN | Mandiri | 09-Mar-2014 | 200.000 | 48.237.095 |
| MASRINA E. SITINJAK | BRI | 09-Mar-2014 | 300.000 | 48.537.095 |
| FRANCISCA SETIAWAN | BCA | 09-Mar-2014 | 1.000.000 | 49.537.095 |
| OKVIANES TONY | BCA | 09-Mar-2014 | 100.000 | 49.637.095 |
| FRANSISCA KRISTANT | BCA | 10-Mar-2014 | 453.000 | 50.090.095 |
| SISILIA PENI AMBAR | BCA | 10-Mar-2014 | 100.000 | 50.190.095 |
| MAYTI IMELDA | BCA | 10-Mar-2014 | 100.000 | 50.290.095 |
| HERIJANTO S. | BCA | 10-Mar-2014 | 2.000.000 | 52.290.095 |
| OCTORANTY NATALIA | BCA | 10-Mar-2014 | 50.000 | 52.340.095 |
| SAUW DJUNG GABRIEL | BCA | 10-Mar-2014 | 50.000 | 52.390.095 |
| ESTER MILLAWATI | BCA | 10-Mar-2014 | 250.000 | 52.640.095 |
| LILIYANTI SYAH | BCA | 10-Mar-2014 | 100.000 | 52.740.095 |
| MIA LINA | BCA | 10-Mar-2014 | 150.000 | 52.890.095 |
| ALMH. WIRLIAWATI | BCA | 10-Mar-2014 | 300.000 | 53.190.095 |
| FREDY | BCA | 10-Mar-2014 | 1.000.000 | 54.190.095 |
| VINSENSIUS | BCA | 10-Mar-2014 | 100.000 | 54.290.095 |
| PAM BDG | BCA | 10-Mar-2014 | 200.000 | 54.490.095 |
| LENNY SULIANI | BCA | 10-Mar-2014 | 200.000 | 54.690.095 |
| LUSIA MULJADIANAMU | BCA | 10-Mar-2014 | 100.000 | 54.790.095 |
| JOHANNES LOREN S. | BRI | 10-Mar-2014 | 50.000 | 54.840.095 |
| BRAMANTYA AGUNG B. | Mandiri | 10-Mar-2014 | 100.000 | 54.940.095 |
| SURI KUNDOLINI | BCA | 11-Mar-2014 | 25.000 | 54.965.095 |
| YEN | BCA | 11-Mar-2014 | 100.000 | 55.065.095 |
| AGUSTINA WIDJAJA | BCA | 11-Mar-2014 | 300.000 | 55.365.095 |
| ERNEST KURNIAWAN | Mandiri | 11-Mar-2014 | 600.000 | 55.965.095 |
| ELLIS PANJAITA | BRI | 11-Mar-2014 | 150.000 | 56.115.095 |
| RYTA HERVIANA | BRI | 11-Mar-2014 | 100.000 | 56.215.095 |
| MANDO SURANAL S. | BRI | 11-Mar-2014 | 100.000 | 56.315.095 |
| JULIUS I. P. SITUNGKIR | BCA | 12-Mar-2014 | 300.000 | 56.615.095 |
| SUSANTIE HARYONO | BCA | 12-Mar-2014 | 100.000 | 56.715.095 |
| RATNASARI HUTOMO | BCA | 12-Mar-2014 | 100.000 | 56.815.095 |
| F. X. A. BAMBANG T. | BCA | 12-Mar-2014 | 50.000 | 56.865.095 |
| MELIANAWATY | BCA | 12-Mar-2014 | 150.000 | 57.015.095 |
| TAN RUBY | BCA | 12-Mar-2014 | 7.200.000 | 64.215.095 |
| STEFANUS AGUS S. | BCA | 12-Mar-2014 | 250.000 | 64.465.095 |
| THERESIA KUSUMAWATI | BCA | 12-Mar-2014 | 500.000 | 64.965.095 |
| VERANICA | BCA | 12-Mar-2014 | 2.000.000 | 66.965.095 |
| CATHERINE MARITA | BCA | 12-Mar-2014 | 1.010.000 | 67.975.095 |
| BELLA FEBRINA SINAGA | Mandiri | 12-Mar-2014 | 200.000 | 68.175.095 |
| LUMBAN NAULI L. TOR | BRI | 12-Mar-2014 | 1.000.001 | 69.175.096 |
| MOEK CHIY LIEAN | BCA | 13-Mar-2014 | 300.000 | 69.475.096 |
| RUDIJANTO SOEDJONO | BCA | 13-Mar-2014 | 500.000 | 69.975.096 |
| FIS | BCA | 13-Mar-2014 | 2.070.000 | 72.045.096 |
| R. R. FRANSISKA M. | BCA | 13-Mar-2014 | 300.000 | 72.345.096 |
| FIARI | BCA | 13-Mar-2014 | 10.000 | 72.355.096 |
| JANTO ARIEF | BCA | 13-Mar-2014 | 250.017 | 72.605.113 |
| THERESIA LAVINIA D. | BCA | 13-Mar-2014 | 500.000 | 73.105.113 |
| MATEUS ANANG WAHYU | BCA | 13-Mar-2014 | 50.000 | 73.155.113 |
| VINCENSIUS DWINATHA | BCA | 13-Mar-2014 | 200.000 | 73.355.113 |
| ANDREAS REXY T. | BNI | 13-Mar-2014 | 200.000 | 73.555.113 |
| ROBBY CHRISTANTO S. | BCA | 14-Mar-2014 | 100.003 | 73.655.116 |
| LIANGLIANTO SETIAWA | BCA | 14-Mar-2014 | 200.000 | 73.855.116 |
| SUSI NORA | BCA | 14-Mar-2014 | 300.000 | 74.155.116 |
| CHRISTINA SANTI | BCA | 14-Mar-2014 | 200.000 | 74.355.116 |
| ELISABETH A. | BCA | 14-Mar-2014 | 5.000.000 | 79.355.116 |
| CH | BCA | 14-Mar-2014 | 250.000 | 79.605.116 |
| DOMINICA MARETNO D. | BCA | 14-Mar-2014 | 100.000 | 79.705.116 |
| VIVI ANA | BCA | 14-Mar-2014 | 500.000 | 80.205.116 |
| JL | BCA | 14-Mar-2014 | 500.000 | 80.705.116 |
| IEP | BCA | 14-Mar-2014 | 50.000 | 80.755.116 |
| FELISIA WENING | BCA | 14-Mar-2014 | 250.000 | 81.005.116 |
| BRAM KILAPONG | Mandiri | 14-Mar-2014 | 1.500.000 | 82.505.116 |
| SYLVESTER ALBERT S. | Mandiri | 14-Mar-2014 | 125.000 | 82.630.116 |
| ELVA Y. | BRI | 14-Mar-2014 | 8.000.000 | 90.630.116 |
| ROBERTUS | BCA | 15-Mar-2014 | 100.000 | 90.730.116 |
| GIANTORO ALIP | BCA | 15-Mar-2014 | 100.001 | 90.830.117 |
| SUHAMTO ALEX SLAMET | BCA | 15-Mar-2014 | 450.000 | 91.280.117 |
| MEILANI HARJATI | BCA | 15-Mar-2014 | 100.000 | 91.380.117 |
| KEL. STEFANUS TC | BCA | 15-Mar-2014 | 500.000 | 91.880.117 |
| RITA DHARMAWAN | BNI | 15-Mar-2014 | 300.000 | 92.180.117 |
| LOKO MARKUS | BNI | 15-Mar-2014 | 1.000.000 | 93.180.117 |
| TIARA | BCA | 16-Mar-2014 | 100.000 | 93.280.117 |
| PETER SADELI | BCA | 16-Mar-2014 | 300.000 | 93.580.117 |
| YULIUS DAMAR S | Mandiri | 16-Mar-2014 | 465.910 | 94.046.027 |
| ANASTASIA ERISTA | BNI | 16-Mar-2014 | 150.000 | 94.196.027 |
| BERNADETHA SETYAWA | BNI | 16-Mar-2014 | 250.000 | 94.446.027 |
| IGNATIUS YAMLEAN | BCA | 17-Mar-2014 | 50.000 | 94.496.027 |
| TEDY SUSANTO | BCA | 17-Mar-2014 | 200.000 | 94.696.027 |
| AIG | BCA | 17-Mar-2014 | 300.000 | 94.996.027 |
| TIEN DEWI YOANNITA | BCA | 17-Mar-2014 | 150.000 | 95.146.027 |
| ALM. LIE DJUNG SIN | BCA | 17-Mar-2014 | 100.000 | 95.246.027 |
| JULIANA LAURUS | BCA | 17-Mar-2014 | 200.000 | 95.446.027 |
| VINCENSIUS BINSAR | BCA | 17-Mar-2014 | 500.000 | 95.946.027 |
| JULIANA | BCA | 17-Mar-2014 | 150.000 | 96.096.027 |
| VERONICA SITEPU | BCA | 17-Mar-2014 | 300.000 | 96.396.027 |
| RUDY SULAEMAN | BCA | 17-Mar-2014 | 500.000 | 96.896.027 |
| ERNIE SUHARDI | BCA | 17-Mar-2014 | 500.000 | 97.396.027 |
| LINDA | BCA | 17-Mar-2014 | 2.000.000 | 99.396.027 |
| RICKY INDRAWAN | BCA | 17-Mar-2014 | 100.000 | 99.496.027 |
| EDWIN RIZALDY | BCA | 17-Mar-2014 | 150.000 | 99.646.027 |
| RM | BCA | 17-Mar-2014 | 100.000 | 99.746.027 |
| MARGARETHA MARIA | Mandiri | 17-Mar-2014 | 50.000 | 99.796.027 |
| JAMES ARNANDY | BCA | 18-Mar-2014 | 1.500.000 | 101.296.027 |
| PATRICIA PURNAMA | BCA | 18-Mar-2014 | 200.000 | 101.496.027 |
| ARY ERLANGGA | BCA | 18-Mar-2014 | 200.000 | 101.696.027 |
| FERDHIANES | BCA | 18-Mar-2014 | 500.000 | 102.196.027 |
| FLORENTINA WAHYU | Mandiri | 18-Mar-2014 | 700.000 | 102.896.027 |
SIAPA YANG SELANJUTNYA INGIN BERBAGI?
BATAS PENGUMPULAN DANA: 31 MARET 2014
Bantuan Saudara/i dapat disalurkan melalui Rekening Khusus PPGK FB Gereja Katolik:
BCA KCP Bungur: 3911-3149-90 a/n Albertus Nirwanto T
Mandiri Cab. Pasar Baru: 119-000-427518-4 a/n Albertus Nirwanto T
BNI Cab. Kramat: 0247-31-4552 a/n Albertus Nirwanto T
Danamon Cab. Gunung Sahari: 00- 3545- 6225- 69 a/n Albertus Nirwanto T
BRI Unit Garuda: 0784- 01- 001775- 50- 3 a/n Albertus Nirwanto T
Silakan konfirmasi dengan format:
NAMA_PAKKAT_BCA/Mandiri/
lewat:
SMS: 0821-6531-7480 / 0818- 08055038 (Administrator Deo Gratias), atau
E-mail: fbgerejakatolik@yahoo.co.i
Blackberry: 2A1C58D7
Whatsapp: 0821-6531-7480
LAPORAN PERTANGGUNGJAWABAN BANTUAN
Gereja Katolik St. Paulus, Huta Ginjang, Humbang Hasundutan (TAHAP I)
1. Albertus Gregory (Koordinator PPGK) - HP. 0821 6531 7480
2. Pastor Konrad Eduard Situmorang, OFM.Cap (Pastor Paroki) - HP. 0813- 9761- 1132
3. Pastor Heribertus Harianja, OFM.Cap (Pastor Rekan) - HP. 0813- 7557- 0646
Syukur kepada Allah atas terselesaikannya kegiatan pencarian dana untuk Gereja Katolik St. Paulus, Huta Ginjang, Humbang Hasundutan. Jumlah total dana bantuan yang terkumpul adalah sebanyak
Rp 130.426.173,- dengan rincian sebagai berikut:
- Jumlah dana bantuan yang masuk melalui Rekening PPGK (BCA, Mandiri, BNI, Danamon, BRI):
Rp 130.426.173,-
Dana yang masuk melalui Rekening PPGK di atas telah kami transfer ke Rekening Paroki Pakkat sebesar Rp 128.000.000 pada tanggal 1 April 2013 (bukti transfer terlampir).
| Bukti Transfer Dana Bantuan untuk Stasi Huta Ginjang sebesar Rp 128.000.000,00. |
Saldo dana bantuan di Rekening PPGK sebesar Rp 2.426.173,00
Biaya Pulsa untuk SMS Konfirmasi Donatur Rp 50.000,00
Biaya Transfer Bantuan Rp 7.000,-
Saldo Akhir di Rekening PPGK sebesar Rp 2.369.173,00
*Setiap Gereja memiliki saldo akhir PPGK. Saldo akhir akan digunakan untuk menjaga rekening PPGK tetap terisi, dan biaya transportasi mengunjungi gereja ketika selesai diperbaiki. Hal ini dikarenakan PPGK tidak memiliki sponsor-sponsor untuk kegiatan operasional.
| Surat Resmi Ucapan Terima Kasih Penerimaan Bantuan dari Paroki Pakkat, Humbang Hasundutan |
LAPORAN PERTANGGUNGJAWABAN BANTUAN
Gereja Katolik St. Paulus, Huta Ginjang, Humbang Hasundutan (TAHAP II)
Penanggung Jawab:
1. Albertus Gregory (Koordinator PPGK) - HP. 0821 6531 7480
2. Pastor Konrad Eduard Situmorang, OFM.Cap (Pastor Paroki) - HP. 0813- 9761- 1132
3. Pastor Heribertus Harianja, OFM.Cap (Pastor Rekan) - HP. 0813- 7557- 0646
Syukur kepada Allah atas terselesaikannya kegiatan pencarian dana untuk Gereja Katolik St. Paulus, Huta Ginjang, Humbang Hasundutan (Tahap II). Jumlah total dana bantuan yang terkumpul adalah sebanyak
Rp 102.996.027,- dengan rincian sebagai berikut:
- Jumlah dana bantuan yang masuk melalui Rekening PPGK (BCA, Mandiri, BNI, Danamon, BRI):
Rp 102.996.027,-
Dana yang masuk melalui Rekening PPGK di atas telah kami transfer ke Rekening Paroki Pakkat sebesar Rp 100.000.000 pada tanggal 3 April 2014 (bukti transfer terlampir).
Saldo dana bantuan di Rekening PPGK sebesar Rp 2.996.027,00
Biaya Pulsa untuk SMS Konfirmasi Donatur Rp 50.000,00
Hardisk Eksternal Rp 742.000,00
Saldo Akhir di Rekening PPGK sebesar Rp 2.204.027,00
Total Saldo di Rekening PPGK (Tahap I & II) sebesar Rp 4.573.200,00
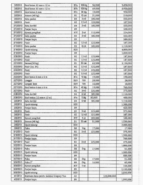
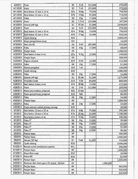
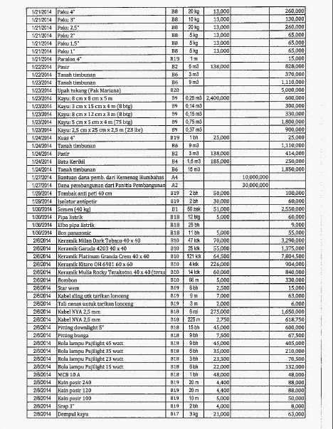
Berikut ini adalah laporan keuangan PPGK untuk Gereja St. Paulus, Huta Ginjang
Laporan Akhir Pembangunan Gereja St. Paulus, Huta Ginjang, Pakkat (Dari Gereja)




























Kucar-cari Greg...ini rupanya pengumpulan dana untuk Stasi Huta Ginjang, Stasi di Paroki Pakkat (Kab Humbang Hasundutan-SUMUT) tempat kami berkarya. Makasih ya Greg & PPGK..HORAS (P.Benny Manurung,OFMCap)
BalasHapus